1、 基本材料選取
材料:鈦合金 TC4 材料的組成為 Ti-6Al-4V,屬于(α+β)型鈦合金,圖 1 所示為其組織。

化學成分如下:

2、 材料基本性能簡介
具有良好的綜合力學機械性能,使用溫度為 300~350℃。比強度大。TC4 的強度 sb=1.012GPa,密度 g=4.4×103,比強度sb/g=23.5,而合金鋼的比強度 sb/g 小于 18。 鈦合金熱導率低。 鈦合金的熱導率為鐵的 1/5、鋁的 1/10,TC4 的熱導率 l=7.955W/m·K。與一般鈦合金相比,鈦鋁金屬間化合物的最大優點是在較高的溫度條件下仍能保持良好的機械性能和耐腐蝕性能,其中部分合金的最高使用溫度達到 816℃,個別合金使用溫度達到 982℃,重量輕,耐高溫,高強度,抗蠕變性能好使其成為未來海洋裝備和航空裝備最具競爭力的材料。鈦無毒、無重金屬析出,強度高且具有和人體較好的生物相容性,是非常理想的醫用金屬材料,例如人體的骨關節,連接件,固定板等可用作植入人體的植入物等。目前,在醫學領域中廣泛使用的仍是 Ti-6Al-4v ELI 合金。
3 、材料應變、時間和溫度的模擬關系
應變和溫度的關系,在 815℃速率和流變峰值應變圖如圖2:

初始應變速率為 5×10-3s-1、溫度為 900℃,分別保溫5,10,15min 進行拉伸試驗獲得如下應變與應力的相應的曲線如圖 3 所示。

如圖 3 所示:在試驗高溫過程的拉伸,材料由于相應的應變所對應的應力先是很快達到頂值,然后又逐漸下降;并且隨著對應應變的增加,后期曲線逐漸變得平緩。保溫時間為 0~16min 范圍內,應變應力曲線在短時間內變化很大,圖形形成急速上升。
4、 建立數學模型及模具相關參數的模擬選取
在建立有限元模擬狀態之中,建立了合金材料模擬變形的變動應力,與宏觀熱力參數之間的關系,為了獲得相應的數值模擬最終狀態數據尤為關鍵。文章通過對比指數模擬,串聯
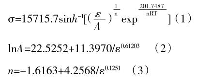
模擬,以及并聯模型 Johnson-Cook,還有 Kumar 5 種高溫基本類型關系的經驗公式,對高溫拉伸試驗數據的收集整理,最終采用 Kumar 模型在溫度為:850~930℃,變化速率為:4×10-4~1×10-2s-1,實際應變為真實變形的范圍內,模擬建立了合金的高溫本構方程的數學表達式如下:

氣壓成形是建立在高溫前提下的變形過程,模具和工件在溫度變化的同時會發生熱脹冷縮的現象,并且考慮兩種材料的膨脹系數不同,變形量有差異,通過對比各類高溫模具材
料不同溫度下的力學性能,特別是合金與這些材料的線膨脹系數進行比較后。最后將選擇 Ni7N 即 ZG35Cr24Ni7SiN 作為TC4 氣壓成形模具材料。并依據兩者的高溫的機械性能參數和大型模具設計的經驗數據,確定模具型面的縮放系數為6%。

聯立以上可求模具內徑,加工氣壓。
在此基礎上根據 FEA 的計算結果,確定了上下模具的結構和尺寸。以上設計不考慮鈦管加工減薄量和加工過程是恒溫。
5、 結論
通過以上模擬計算和模具的模擬設計研究,為制造強度高,公差要求嚴的零部件提供了一種新的成型方案。
相關鏈接